rates and variations - shahzade baujiti

Breaking

Sunday, May 12, 2019

rates and variations

A rate is found by dividing one quantity by another.
Rates of Quantities of Different Kinds
Relate rates of quantities of different kinds
For example a rate of pay consists of the money paid divided by the time worked. If a man receives 1,000 shilling for two hours work, his rate of pay 1000 ÷ 2 = 500 shillings per hour. From the above example, we find out that
Example
Relate rates of quantities of different kinds
  1. What is his rate of pay?
  2. At this rate, how much would he receive for 20 hours work?
  3. At this rate, how long must he work to receive 30,000 shillings?
Solution:
Quantities of the Same Kind
Relate quantities of the same kind
Example
Relate quantities of the same kind
Exercise
1. A woman is paid 12,000/= for 8 hours work.
Converting Tanzanian Currency into other Currencies
Convert Tanzanian currency into other currencies
Different countries have different currencies. Normally money is changed from one currency to another using what is called a Rate of Exchange.
This makes trade and travel between countries convenient.
Conversion of money is done by multiplying or dividing by the rate of exchange.
Eg. If at a certain time there are 1,100 shillings to each UK pound (£), to go from £to shillings, multiply by 1,100, and to go from shillings to £divide by 1,100.
NB: The rate of exchange between two countries varies from time to time.
Example
Convert Tanzanian currency into other currencies
  1. A tourist changes 200 euros to Tsh. How much does he get?
  2. A business woman changes 2,080,000 Tsh to euros. How much does she get?
Exercise
At a certain time there are 600 Tsh to one US dollar ($).
Variations
The Concept of Direct Variation
Explain the concept of direct variation
Some quantities are connected in such a way that they increase and decrease together at the same rate. For example if one quantity is doubled the other quantity is also doubled. These quantities are Directly Proportional or Vary Directly.
Eg. If a car is driven at a constant speed, the distance it goes is directly proportional to the time taken.
Also the amount of maize you buy is directly proportional to the amount of money you spend.
Problems on Direct Variations
Solve problems on direct variations
Example
Solve problems on direct variations
Suppose a weight of 2kg gives an extension of 5cm.
Find an equation giving the extension e cm in terms of weight w kg. Find the weight for an extension of 3cm.
Example
Solve problems on direct variations
Example
Solve problems on direct variations
The Concept of Inverse Variation
Explain the concept of inverse variation
In some cases one quantity increase at the same rate as another decrease. For example, if the first quantity is doubled, the second quantity is halved.
In this case the quantities vary inversely, or they are inversely proportional. e.g. The number of men employed to dig a field is inversely proportional to the time it takes. Also the time to travel a journey is inversely proportional to the speed. We use the same symbol (∝) for proportionality.
Problems on Inverse Variations
Solve problems on inverse variations
Example
Solve problems on inverse variations
If the volume is 0.8 m3 when the pressure is 250 N/m2, find the formula giving the volume in m3 in terms of the pressure P N/m2. What is the volume when the pressure is increased to 1,000 N/m2?
Example
Solve problems on inverse variations
Exercise
The quantities p and q are inversely proportional to each other such that when q = 20, p=1.2
  1. Find the equation giving p in terms of q
  2. Find q when p = 0.5
  3. Find p when q = 160
Given that y is inversely proportional to x such that when y = 6, x =7. Find the equation connecting x and y by expressing x in terms of y and hence find x when y = 36
The number of workers needed to repair a road is inversely proportional to the time taken. If 12 workers can finish the repair in 10 days, how long will 30 workers take?
Graphs Relating Inverse Variations
Draw graphs relating inverse variations
The graph of y against x is shown for which y = 3 when x =2
Proportion to powers:
Sometimes a quantity is proportional to a power of another quantity. For example the area A of a circle is proportional to the square of its radius r,
So A ∝r2 or A= kr2
Example
Draw graphs relating inverse variations
Example
Draw graphs relating inverse variations
  1. M when N = 1.5
  2. N when M = 0.3
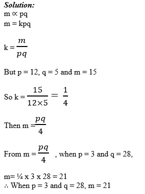
Joint Variation in Solving Problems
Use joint variation in solving problems
If a quantity varies as the product of two other quantities then it varies jointly with them. eg. If y = 3vu2, then y varies jointly with v and u2.
Example
Use joint variation in solving problems
The volume of the gas varies jointly with its absolute temperature and inversely with its pressure. At a temperature of 300 k and pressure of 80kg/m2, the volume is 0.5m3. Find the formula for the volume in terms of T and P.
Example
Use joint variation in solving problems
Exercise
1. M is inversely proportional to the cube of N, when N =2 then M = 20.
  1. Find an equation giving M in terms of N.
  2. Find M when N = 4
  3. Find N when M = 5.
2. P is inversely proportional to the square root of Q. When Q = 16 then P =5.
  1. Find an equation connecting P and Q expressing P in terms of Q.
  2. Find P when Q = 9
3. When a body is moving rapidly through the air, the air resistance R newtons is proportional to the square of the velocity Vm/s, At a velocity of 50m/s, the air resistance is 20N.
  1. Find R in terms of V
  2. Find the resistance at 100m/s.
4. B varies jointly with A and the inverse of C. When A = 3 and C = 12 then B = 20.
  1. Find B in terms of A and C.
  2. Find B when A = 8 and C= 2
5. The mass m kg of a solid wooden cylinder varies with the height h (m) and with the square of the radius r (m). If v = 0.2 and h = 1.4, then M = 150. Find m in terms of h and r.
Joint variation leading to areas and volumes
Many formulas for areas and volumes involve joint variation. For example the volume of a cylinder is given by v = πr2h.
So the volume varies jointly with the height and the square of the radius. i.e v∝r2h.
Example
Use joint variation in solving problems
Example
Use joint variation in solving problems
Exercise
1. A box has a square base of side 5cm. The volume of the box is 56cm3. If the sides increase by 10%, without the height changing, what is the new volume of the box?
2. A cone has volume 30cm3. If the radius increases by 10% and the height by 5%, what is the new volume of the cone?
3. A water tank holds 1,000 liters, and is in the shape of cuboids. The lengths of the sides of the base are enlarged by a scale factor of 1.4 without altering the height. What volume will the tank now hold?
4. The height of a cylinder is reduced by 20%. What percentage change is needed in the radius, if the volume remains constant?

No comments:

Post a Comment